How State Lawmakers Exile the Needy
What happens when, in a country where workers are free to move, a region raises its minimum wage? Do those with the fewest skills seek out the regions with the highest wage floors?
New minimum wage research by economist Joan Monras of the Paris Institute of Political Studies (Sciences Po) attempts to answer that question. Monras theoretically shows that there should be a close relationship between the employment effects of raising the minimum wage and the migration of low-skilled workers.
When the demand for local low-skilled labor is relatively unresponsive (or inelastic) to wage changes, raising the minimum wage should lead to an influx of low-skilled workers from other states in search of better-paying jobs. On the other hand, if the demand for low-skilled labor is relatively responsive (or elastic), raising the minimum wage will lead low-skilled workers to flee to states where they will more easily find employment.
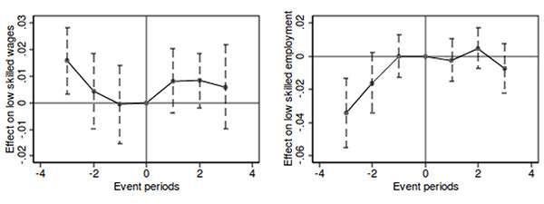
To test the model empirically, Monras examined data from all the changes in effective state minimum wages over the period 1985 to 2012. Looking at time frames of three years before and after each minimum wage increase, Monras found that
- As depicted in the graph below on the left, those who kept their jobs earned more under the minimum wage. No surprise there.
- As depicted in the graph below on the right, workers with the fewest skills were having an easier time finding full-time employment prior to the minimum wage increase. But this trend completely reversed as soon as the minimum wage was increased.
- A control group of high-skilled workers didn’t experience either of these effects. Those affected by the changing laws were the least skilled and the most vulnerable.

These results show that the timing of minimum wage increases is not random.
Instead, policy makers tend to raise minimum wages when low-skilled workers’ real wages are declining and employment is rising. Many studies, misled by the assumption that the timing of minimum wage increases is not influenced by local labor demand, have interpreted the lack of falling low-skilled employment following a minimum wage increase as evidence that minimum wage increases have no effect on employment.
When Monras applied this same false assumption to his model, he got the same result. However, to observe the true effect of minimum wage increases on employment, he assumed a counterfactual scenario where, had the minimum wages not been raised, the trend in low-skilled employment growth would have continued as it was.
By making this comparison, Monras was able to estimate that wages increased considerably following a minimum wage hike, but employment also fell considerably. In fact, employment fell more than wages rose. For every 1 percent increase in wages, the share of a state’s population of low-skilled workers in full-time employment fell by 1.2 percent. (The same empirical approach showed that minimum wage increases had no effect on the wages or employment of a control group of high-skilled workers.)
Monras’s model predicts that if labor demand is sensitive to wage changes, low-skilled workers should leave states that increase their minimum wages — and that’s exactly what his empirical evidence shows.
According to Monras,
A 1 percent reduction in the share of employed low-skilled workers [following a minimum wage increase] reduces the share of low-skilled population by between .5 and .8 percent. It is worth emphasizing that this is a surprising and remarkable result: workers for whom the [minimum wage] policy was designed leave the states where the policy is implemented.
These new and important findings reinforce the view that minimum wage increases come at a cost to the employment rates of low-skilled workers.
They also pose a difficult question for minimum wage proponents: If minimum wage increases benefit low-skilled workers, why do these workers leave the states that raise their minimum wage?