The Coordination Problem at Work and Play
People often bunch their activities at common points in time. Most people work from 9 am to 5 pm rather than from 10 pm to 6 am. One reason is that these are daylight hours, but another reason is because everyone else is working during this time. If you and your coworker are in the office at the same time, it is easier to collaborate. Furthermore, it makes working more fun to be there with other people. …
Most generally, many economic activities bunch or cluster in time because it pays to coordinate your economic actions with those of others. That just means that we want to be investing, producing, and selling at the same time that others are investing, producing, or selling. In short, economic activity tends to cluster together in time just as it clusters together in space. (What do we call a cluster of economic activity in space? A city.)
The desire to coordinate work-time amplifies shocks and so can contribute to business cycles (hence, time bunching is one of the transmission and amplification mechanisms discussed in our principles textbook from which the quote is drawn).
People “also like to party at the same time and to see movies and concerts with other people” so there is a desire to coordinate leisure-time as well as work-time. The coordination of leisure-time is the subject of an excellent paper by Young and Lim, “Time as a Network Good: Evidence from Unemployment and the Standard Workweek,” in Sociological Science.
From the abstract:
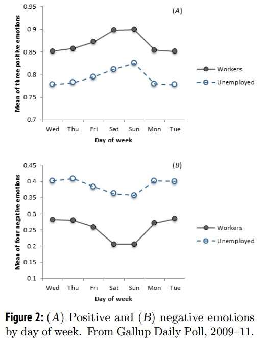
Drawing on two independent data sets, with more than half a million respondents, we show that both workers and the unemployed experience remarkably similar increases in emotional well-being on weekends and have similar declines in well-being when the workweek begins.
The unemployed look forward to weekends much the same as workers. This is in large part because social time increases sharply on weekends for both workers and the unemployed.
Weekend well-being is not due to time off work per se but rather is a collectively produced social good stemming from widely shared free time on weekends. The unemployed gain comparatively little benefit from their time off during the week, when others go to work.
Figure 2, from their paper, shows the basic story. Workers report more positive emotions (top panel) and fewer negative emotions (bottom panel) than the unemployed but both workers and the unemployed are happier and less stressed on weekends.

Thus, coordinated leisure is more valuable than free time per se.
The benefits of coordination also occur at longer time scales. It’s March Break at GMU this week so both my wife and I have some free time. Unfortunately, GMU’s March Break is not coordinated with that of Fairfax County schools so we can’t plan any family travel time! In two weeks, the situation will be reversed. Ugh.
George Mason University could raise the value of its March Break to many of its employees by coordinating with Fairfax County Schools — a free way to raise faculty and staff salaries! If only some Angel could make this possible.
The benefits of coordinated leisure also suggest that a national holiday is of more value than everyone having a day off but potentially a different day, so-called flex-time. I wouldn’t go as far as the French, who shut down in August, but it’s odd that the United States has lots of winter holidays but only one summer holiday. Let’s coordinate to create a national summer holiday. A 3-day summer-weekend will increase everyone’s happiness.